Posts Tagged ‘physics’

Differential Solver Shows No Solution for u,d,u (Proton) Charge Configuration

July 27, 2022

I’ve done quite a bit of testing on my differential equation solver, including verifying the quantized states of the hydrogen atom. It seems to be working delightfully well, identifying non-quantized solutions as unbounded such that Psi doesn’t meet at least one of the boundary conditions.

So, I was ready to try the axial solution for a three charge configuration represented by the u,d,u proton arrangement of charged particles. I had to make a number of assumptions: that the quark charges have to be spaced in the statically stable arrangement with the two +1/3 up quarks opposite each other and the down -2/3 quark in the center. I assumed a momentum term (1/r^2 in the potential), since I did the simulation on one of the up quarks. Symmetry implies no momentum term for the down quark. I did not assume any specific separation distance, but included that as a configurable setting in the simulation. I was able to vary E (up quark energy level), separation distance, and other settings in real time to see how that impacted the Psi solutions. I only solved the case along the axis of the three particles (a 1 dimensional Schroedinger equation) since symmetry will dictate what happens off axis due to no off-axis contributions to the wave function second derivative.

I had postulated (about three posts ago) that there could not be multiple eigenstates for solutions, at most only one because of the system boundary conditions. Sure enough, running this simulation appears to show there are no time independent eigenstates. The Schroedinger equation is over-constrained by the boundary conditions.

This doesn’t mean there are no solutions, but it almost certainly means there’s no time independent solutions for this charge configuration. It’s also possible that using some other potential quantization numbers (n,l) may yield a time independent solution, but I really doubt it–now that I’ve run a number of scans on quite a few quantum well types, I’m learning how to recognize a converging solution and I am not seeing it here.

Agemoz

Proton charge configuration showing unbounded Psi (green). Yellow: E, Red: potential, Blue: acceleration, Grey: Rate of change

Sinusoidal Well Causes Phase Lock

July 23, 2022

I try to post rarely, usually after some new learning in my research studies. In the last few days I’ve posted about the interesting results from my iterative differential equation solver, and that’s enough for now. However, I tried something new and was fascinated by the result, so I felt like I had to do one more post that demonstrated the power of the differential solver, and then will head back to my studies. I don’t get the sense that anybody reads these, and the purpose of this blog is mostly for my research study journalling, so hopefully no harm done.

Yesterday, I posted how the differential equation solver was yielding results that match expected solutions to various Schroedinger time independent equations, and showed how it is identifying eigenstate energies of various potential wells.

I realized that the solver would also work fine for various time dependent problems, and thought of the laser case. I set up a scenario where a flat potential well and a specific energy level creates a wave of a specific frequency. At a later time, I set up a different potential with a sine wave component added in–a setup where a photon wave travels in a region of another photon wave of a different frequency. I found that the solution phase locked to the potential sine wave. That’s not really a surprise, but what was a big surprise is that this lock was independent of the energy of the system or the average depth of the well, both of which normally set the oscillation frequency of psi. The change in potential is a sine wave in this case, and that always caused a phase lock to the potential well frequency regardless of the depth of the potential well OR the energy of the system!

I’m going to try to find the points where this behavior breaks and the depth of the well or the energy level dominate the psi oscillation frequency. I also have to think if this test setup really mimics what happens in a laser, I kind of have my doubts. Nevertheless, some really interesting results!

agemoz

Effect of sine wave potential well on Psi. Red is the potential, yellow is the system energy, and green is the solution Psi

Differential Solver Tested and Working!

July 22, 2022

I’ve put a lot of fixes and user interface controls into my differential equation solver, and tested it with a number of Schroedinger equation homework problems from my physics classes, and getting matching results. I so badly wish I had done this while taking my classes–I can analyze so many internal variables and visually see how different Hamiltonians and energies affect the solutions. I can tweak the energies and the eigenstates just pop out! Any energy that is not an eigenstate results in unbounded psi (see pictures), so in real time, I change the Hamiltonian energy component up or down and watch how psi evolves and watch for the eigenstate values as I pass by them.

This differential solver is still very basic, only one dimensional, but it is very clear in my mind that this will be extensible to 2 and 3 dimensional solutions–at which time, I’ll start testing the u,d,u charge and spin solutions I hypothesized in previous posts.

This is so fun and amazing. In class, I learned many sophisticated mathematical tricks to get answers to simple differential equations, but also learned that the vast majority cannot be solved and require simplifying assumptions just to get an approximated solution or a range of possibilities. I confess that I didn’t really enjoy that approach to physics–it was so laborious and so limited, and I really felt like that methodology wasn’t really sustainable or scalable at all. Using a computer with applications like this differential solver feels unbounded in its potential to make headway and I have visions of exciting paths to discovery and learning that I rarely got from class. This is why I love and am so energized by physics!

Agemoz

Flat Potential Well very near eigenstate. Red:potential Yellow: Energy Green: Magnitude Psi
Ramped Potential Well very near eigenstate. Red:potential Yellow: Energy Green: Magnitude Psi
Very Complex Potential Well very near eigenstate. Red:potential Yellow: Energy Green: Magnitude Psi

Iterative Differential Solver First Light

July 12, 2022

As mentioned in the previous post, I am studying what a u,d,u Schroedinger equation solution would look like. I discovered there are relatively few stable charged particle configurations, and one of them matches the u,d,u quark configuration for protons if the quarks lie in a line. I also found stable 4 and 5 particle solutions (see recent posts), which I thought was interesting given that LHC is recently seeing exotic quad and pentaquarks emerge from high collision energies.

At this stage, I am just doing a study of what a Schroedinger solution would look like for various charged particle sets, ignoring strong force, Higgs, and other chromodynamics.

Such a three-body solution to the Schroedinger cannot be derived analytically. However, some study of the configuration (see previous post) shows some important traits of the solution that lead me to want to know more, so I’ve been writing an iterative differential equation solver. This iterates through all reasonable possible energy levels to find valid bounded solutions, thus pointing out the eigenstates of the equation under study. In the last few days, I’ve made considerable progress getting a first version of the solver to work.

The first problem I ran into was that the solver immediately locked into the zero Psi degenerate solution and wouldn’t leave it to find valid solutions! Then I ran into trouble at the center point discontinuity. By carefully setting initial conditions near the negative infinity starting point and using symmetry to manage the discontinuity, I was able to start getting valid results, and am using the classic hydrogen atom radial (r direction) Schroedinger equation to calibrate the results. Here is one of the first pictures I got of the Psi expectation value on x.

I haven’t tried the u,d,u case yet because a lot of work remains to get this fully functional. Right now, this only works on 1-dimensional real equations. Once this is calibrated and working as expected, I need to expand it to generate complex valued Psi wave function amplitudes. Then it needs to automate the search for valid bounded energy levels. Then it has to be expanded to work in more than one dimension.

A lot of work ahead. The hope is that this approach will allow deeper investigation into differential equation problems with non-analytic solutions such as the u,d,u quark configuration.

Agemoz

Solving the Proton u,d,u Charge Schroedinger Equation

June 21, 2022

A while ago, I discovered that there are a few stable charged elementary particle configurations, the most basic one happens to match the charge configuration of a proton– +2/3, -1/3, +2/3 is stable if placed in a line. There are only a few other solutions, which got me interested in finding the Schroedinger equation probability distribution for this configuration. It turns out that the result is actually pretty interesting, although I’ll state right up front that without accounting for the strong force, weak force, and Higgs boson effects, this work likely isn’t going to be a useful addition to quark chromodynamics.

Nevertheless, there’s some pretty interesting stuff that came out of this investigation. This three-particle configuration is closely related to the classic hydrogen atom two-particle solution, but with an in-line third particle added and without the heavy center particle. At first I thought we would get roughly the same probability distribution we get for the hydrogen atom electron shells, but this is not at all the case and here is why.

The hydrogen atom electron potential energy is a function only of the radius, so the Schroedinger probability distribution Psi equation can be broken down into three independent wave equations multiplied together. Because the hydrogen atom has a potential well, each of these independent wave equations solves sinusoidally for part of the region, and boundary conditions set independent integer wave multiples that form eigenstates for the wave equation in each of three dimensions (either cartesian or more appropriately, polar coordinate solutions). This results in the well known set of 3D probability distribution shapes that constitute the various ground-state or excited states of the electron about an atomic nucleus.

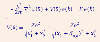
When we try the same process with the charged u,d,u quark particle configuration, I got a totally different situation. To see this, it’s best to work in cylindrical coordinates, with z axis angular symmetry about the in-line axis, and a relatively complex x-y axis potential V. The potential in the x-y potential is related to both x and y, so no reduction to r can be done and the resulting Schroedinger probability distribution Psi is the product of two independent wave equations rather than three. Here is the equation:

u,d,u charge potential. Note that Z actually should be shown as different in each term and reflects different mass and charge of the adjacent particles

The z axis wave equation solves the same as the hydrogen atom, but the x-y wave equation has an additional constraint. In the hydrogen atom, solutions are a sum of exponential decay and sinusoidal waves, so boundary conditions (the potential well width, in particular) gives us quantized eigenstates for the probability distribution. But the Psi dependency on both x and y means no separation of variables is possible here. In the x-y case means we cannot get a spatially varying Psi, we only get a valid solution to the Hamiltonian at a single x-y point! There cannot be any more than one eigenstate for the x-y case, and all the parameters have to be exactly right to even get one eigenstate.

Does this explain what there are no excited states for the proton? It certainly looks like that, but don’t forget the z-axis wave equation. It does solve to exponential decay and sinusoidal waves, so the composite solution for Psi means there is a much simpler set of excited states, that is, identical probability distributions that are scaled by an integer.

So far, I don’t think my logic and math is faulty, but how can we resolve the fact that the u,d,u Schroedinger gives us any quantized states at all when there’s no experimental evidence for excited protons? We could just say the answer lies in the constraining effects due to the strong force or something like that–but could the excited states from the u,d,u Schroedinger equation just be the solution for multiple protons in a nucleus?

I can already hear a vast chorus of objections from the smarter people in this room, but I thought that was a really interesting outcome. With this solution, we wouldn’t need a strong force to bind the nucleus, the collection of protons are actually represented as an excited proton state, and the steep but thin well wall potentially sets up quantum tunneling that could give us weak force beta particle emissions. Worth a bit more investigation, I think. I especially want to find the single eigenstate energy that results from the u,d,u configuration and see if it gives us the energy (and hence effective mass) of the proton relative to the electron.

Agemoz

Why Protons have Much More Mass Than Electrons

June 15, 2022

There’s a clickbait title if there ever was one! Nevertheless, as I worked on an iterative Schroedinger solver for the three elementary particle (u,d,u) proton case, it became immediately obvious that even if you ignore strong force, gluon masses, and the Higgs boson interactions within a proton, the proton has to have a lot more mass than an electron. Here’s why I think that:

Every physics freshman level student goes through the exercise of solving the Schroedinger equation for a hydrogen atom, yielding solutions that are quantized and form 3D probability distributions for each energy eigenstate. Quantization of these solutions are entirely dependent on the boundary conditions that apply, which for the hydrogen atom include the width of the potential energy quantum well. We also require real solutions and that the probability distribution go to zero at infinite distance, but the one that gives us quantization of the probability distribution shells (s, p, etc) is the physical width of the quantum well potential energy.

The proton is heavy, so we assume that the electron moves about a center-of-mass point that doesn’t move, which yields sinusoidal solutions whose frequencies are essentially integer multiples of the width of the electron-proton charge quantum well.

When I began work on the iterative Schroedinger solver, it immediately became clear that the quantum well width for the three-particle u,d,u case is a whole lot smaller, thus yielding sinusoidal wavelengths that also were much smaller by about a factor of 20 or so. Here is a comparative picture of the electron-proton quantum well vs. the u,d,u proton quantum well:

Quantum Well comparison between electron-proton (blue) and u,d,u proton (orange)

This has direct implications for the required mass of the proton (three particles rather than one, and each particle has to have at least 20 times as much mass). It’s so interesting to discover that the u,d,u three-particle Schroedinger solution requires much more mass for a proton than an electron–at least a factor of 40 to 60–even if there is no strong force, no massive gluons, and no Higgs boson, only charge potential.

Agemoz

u,d,u Schroedinger Derivation Attempt

June 10, 2022

As discussed in my previous post, I see that there are multiple statically stable charged elementary particle configurations. There obviously are static configurations for configurations that are based on a massive center set of particles and orbiting light particles (e.g., the hydrogen atom). There is no static configuration for two elementary particles (thus strongly suggesting that the electron cannot be a dipole at the Compton radius, an idea I pursued for a long time). However, as indicated in the previous post, there are static solutions of three and four elementary particles. I just found a 3D solution that allows a static 5 particle solution with three + charged particles and 2 – charged particles.

Some of these solutions have required charges that appear to match relative quark configurations, so I wondered if Schroedinger solutions for these configurations would reveal anything useful. I set up the u,u,d configuration of a proton and see a quantum well similar to the massive center potential energy configuration of the hydrogen atom (see previous post for the computed potential energy along the u,u,d configuration axis). The equation I want to use is this:

u particle Schroedinger equation for the u,d,u elementary particle configuration

where d_u,d is the statically stable spacing required and Z is the number of charge particles in the interaction configuration. In the three particle case u,d,u, Z = 1. I want to see if this quantizes like the hydrogen atom, and if so, what are the energy eigenstates.

Since I’m pretty sure that analytic solutions are not going to be found, I am going to take advantage of computing horsepower to attempt a brute-force Schroedinger solver engine that could come up with eigenstates for any Schroedinger equation I choose such as this. I do recognize that this equation is symmetric about the inline axis of the u,u,d static configuration, so choosing a cylindrical LaPlacian is probably a good idea. I’m sure there are a variety of iterative solvers out there, but I thought I would first try some of my own ideas. Since this Schroedinger equation is similar to the hydrogen atom case, I’m going to iterate through a chosen range of energies E by step, and in each case compute an array of second-order derivative constants for each x,y position (that is, x_1 and x_2), or radius r and angle phi if I use cylindrical coordinates. Once I have that, I’ll use boundary conditions to set the first derivative starting points and try to reconstruct the amplitude Psi from that. We know Psi has to go to zero at infinite distance (otherwise we would not have bound states), and it must also go to zero at the quantum well and the poles of the u particle positions (on either side of the center d particle). Psi continuity requires that the first derivative must not have discontinuous steps, so this forms another boundary condition on the iteration process.

I’m guessing that non-eigenstate energies will fail to converge in the iteration process, so I’m hoping eigenstates will fall out of this solver and then lead to some interesting information about required masses of the u,d,u particles. It would be great if I get some information that shows why the quarks or the proton as a whole have the masses they have. There is nothing in this model about the strong force or gluons or Higgs bosons, so I admit I’m skeptical I will get anything out of this effort–but there’s no question that there will be some kind of Psi probability distribution for three particles u,d, and u, and I want to see what that looks like.

Agemoz

Schroedinger Solution for u,u,d Quark Model

June 5, 2022

A lot of research has led me to several conclusions that have changed the course of my thinking. First, I have finally abandoned the dipole twist solution for the electron, at least on a scale larger than the Planck length. It’s so tempting because a lot of interesting things come out of that approach (see all the previous posts on the subject here), but all the reading and research I have done seems to instead confirm the point size of the electron. I’m still a believer in the quantum interference approach, that is, quantum interference is involved in a lot more than just adjusting space-time locations of quantum decoherence.

So, to make a long story short, I now accept the point particle nature of electrons and quarks. I still believe that special relativity must arise if all particles are solely comprised of waves (see paper:https://agemozphysics.com/wp-content/uploads/2020/12/group_wave_constant_speed-1.pdf). I suspect that two additional principles are also true but I don’t have proof: that E=hv implies quantized twists in R3 from a background state vector I normal to R3, and that particles exist where quantum interference of waves sum to a peak value (see previous posts on this subject). This peak value moves according to how waves interfere over time.

Having abandoned attempts to solve for an internal electron wave dipole structure, I turned my attention to quarks, a substantially more complex particle set. I noted that there is only one stable way in an EM field to physically align three point particles where one particle has 1/2 the negative charge of the other two particles (a u,u,d proton configuration) such that there is no net force on any of the particles–in a straight line with the negatively charged particle is in the center. There are analogous solutions with a center negatively charged particle surrounded by n equally spaced positive charges in any of the polygon or Platonic polyhedra configurations. Also note the vice versa solutions where charge polarity is reversed.

Note that this discovery reinforced the thought that the electron cannot be a +,- charged dipole–such a configuration can never statically exist, it will always collapse. As far as I can determine, there no other statically stable particle configurations.

So, I decided to attempt a Schroedinger wave solution of the u,u,d solution. Since now the potential V is dependent not just on r (the case of the hydrogen atom), cylindrical coordinates are required where the radial eigenstates are independent but the x and y displacements will have composite eigenstates. All the tricks we use to solve for the hydrogen atom won’t work here. However, it’s clear that this Hamiltonian is closely related to the hydrogen atom–it’s clearly bounded even though there’s a pole at the third particle (when solving for the first particle). If it is bounded, there has to be fixed energy eigenstates. I am now in the process of trying to find out what they are–I’m pretty sure the ground state has to be the in-line solution that is statically stable. One way or the other, the u,u,d case definitely has a quantum well (see image) and thus should have time independent quantum eigenstates. This is a complex problem that is taking all my research time right now.

I also noted that the d,d,u configuration does not have a statically stable state, but if you assume a quantum linear combination of two symmetric isosceles triangles, I do see a statically stable configuration–maybe. If I make any progress on the u,u,d case, I’ll apply the same approach to the d,d,u Schroedinger.

If I do end up finding eigenstates, that’s just the beginning–what confines these quarks to a “bag” and why is the rest mass of the proton so much greater than the electron? How do gluons derive from this Schroedinger equation and why do they carry mass given that emission from quarks would not conserve mass (and hence energy)? If they are virtual, how does that factor in a Schroedinger model?

Agemoz

Geometry Model

January 13, 2022

If you are a scientist, be aware this is amateur work and there is nothing for you here. I use this site to help me keep track of my own thinking, which tries to adhere to known science but explores some “out-of-box” thinking to help synthesize my own world view of how I think things might work to explain subatomic particle existence. If physics is your profession, skip this, it’s not worth your time here.

There are previous posts from before the pandemic, there’s a lot of ideas there most of which I think are wrong. However, I’ve done a lot of thinking and some research since then, and am going to list here some that I think hold up to scrutiny. These foundational elements still seem to hold up and will form the basis for further work.

a: I am starting with the assumption that there is an underlying geometric basis for particles such as photons, electrons, and quark composites. This doesn’t necessarily hold true but for the purposes of my study I am assuming this.

b: Any group wave construction moving at some fixed speed in an observer’s frame of reference will classically doppler shift in such a way that an observer in some other frame of reference moving at some relative velocity will see the same group wave velocity. I wrote a paper on this that proves this, you can easily derive it yourself–take the Fourier transform of the group wave of a delta function deconstruction, then classically doppler shift these components before returning the group wave to the time domain. You will find that the velocity seen by the original observer is the same as that seen by the moving observer. Additional derivations show that any geometrical model of a particle that obeys special relativity must be composed entirely of waves, any non-wave components will not move at the same relative speed as the group wave and the particle will dissociate. Therefore, I am assuming that all elementary particles are formed entirely of some form of waves.

c: E=hv for all elementary particles describes a translation from a single unbreakable quantum of energy to a specific frequency. Therefore, at this frequency, only integer multiples of this energy are possible, and the only geometrical way to construct such quantization is by unitary vector rotations to and from a background state. I assume that elementary particles such as photons, electrons, and quarks consist of a single rotation in this background unitary vector rotation field.

d: I assume this background state cannot lie in R3, an additional imaginary dimension is required. If the background state were in R3, we would not see consistent particle behavior independent of the observer’s frame of reference (in particular, his rotation), and a cosmic background radiation would then become detectable that was dependent on the observer’s relative rotation. We do not see this, so therefore, I assume that elementary particles must consist of a vector wave rotation from and to the I part of an R3 + I vector field.

e: We already know from the standard model that every elementary particle emits a field of waves in the form of quantized virtual particles. Interference of these waves, for example in a two slit experiment, creates probability amplitudes for how the particle moves. However, these waves by themselves cannot define an elementary particle location. There must be a way to define the particle’s existence (within the constraints of the uncertainty principle) without introducing a non-wave entity (see assumption b above). I see that the only way to meet assumptions b and c is if the particle emits waves polarized in some direction v normal to the background state I, but the particle itself is defined by a complete integer twist normal to this set of polarized waves. Since this is essentially the second Bohm pilot wave model which is considered a leading model for quantum interference and entanglement, I am going to assume that this is the right construct for elementary particles.

f: Twists are not possible within a continuous field without introducing potential discontinuities, but are possible in a granular (quantized) field. I am assuming that the vector field allows this quantization and thus twists without causing energy discontinuities.

f: Photons travel linearly and have no rest mass, so I am going to assume that all of their energy is contained in the angular momentum of this wave twist normal to the I background state and the direction of travel. This defines the photon’s polarization.

g: All particles with mass are confined to a physical neighborhood, and because of the previous assumptions must consist of one or more wave twists as described in assumption e. A closed loop system of twists must move at the same speed c (otherwise the sum of their confined masses would vary).

h: At sufficiently high temperatures (more specifically, within a sea of high-energy photons since there are no known vibrational modes for electrons), electrons are known to dissociate into at least two photons, never a single one (because of momentum conservation). However, at rest, such dissociation will cause two photons of half the energy of the electron, and thus twice the wavelength of the electron energy wave. I am assuming that it is not possible to generate waves with this wavelength (unlike atomic emission, there are no vibrational states of the free electron that could generate longer wavelength photons). Therefore, I assume that electrons have to consist of two twists with doubled wavelength and hence half energy. I’m well aware that this contradicts the known point-particle behavior of the electron and currently am proposing that this two twist solution is completely inelastic and cannot exhibit any vibrational states.

i: If quantum interference defines the allowable probabilistic positions of these twists, and if these twists must always move at speed c (else their momentum would spontaneously change), there are only two possible stable constructions of twists. The first constraint forces the particle to lie in the region that is either 1/2 wave (for oppositely charged twists) or full wave (for identically charged twists), and the second constraint means that all twists in the system are moving in the same direction. I see only two solutions, both lying on a circle: the dipole, and a tripole. The dipole is obvious, but to enforce the tripole solution, there must be a pair of + twists separated by a full wavelength and a single – twist separated from the other two by a half wavelength that is a multiple of the full wavelength for the + twists. No other solutions in R3 are possible, although frequency multiples of these two solutions are possible. Note, this is not an EM field solution–no central force field can yield solitons on its own.

This ends the list of assumptions that I believe are sufficiently logical that I will base my model on them. What follows are attempts to find further constructions that will hold up.

I’m going to stop now and continue to add to this post in a bit.

Central Force Charge Infinities

March 26, 2021

In the last post, I stated that if an electron were truly an infinitely small point, and electrostatic fields obeyed the central force relation where force decreases with the square of distance, we should see electrons able to achieve very high velocities. There is an analogy with gravitationally driven masses that slingshot around other masses and gain sufficient momentum to exit the solar system. For example, the P orbital (second excitation state of electrons in an atom) has a probability distribution that intersects with the nucleus, so close encounters should cause large central force acceleration such that the electron would be ejected from the atom at high velocity. We never see this happen for stable atoms, so I concluded that one or more of our assumptions has to be wrong. Either the electron is not a point, or electrostatic fields do not follow the 1/r^2 decrease in strength away from a charge source.

I think enough experiments have been done to show that the bare electron has to be a point as far as we are able to measure. I think trying to find a solution that depends on a significant electron radius is a lost cause.

However, I have posted many times working out ideas how the electrostatic field has to be exerted via sinusoidal waves. We already see wave behavior from quantum particle experiments, so I ran several simulations that showed how charged particles are displaced, either as attraction or repulsion, via quantum interference–waves summing to form interference patterns defining particle location probability bands. This led to the hypothesis that charge forces are a consequence of quantum interference, and that the electromagnetic field consists of waves.

Recently I’ve been questioning why quantum field theory has to use renormalization to cancel out infinities caused by the central force behavior of electrostatic fields. This (and the gravitational mass analogy positing spontaneous expulsion of electrons from atoms) has led me to think that modelling the field as a 1/r^2 central force field is incorrect. I conclude that the electrostatic field near a point charge has to be represented by a probability amplitude, not of 1/r (which would yield a probability distribution of 1/r^2), but must also include its wavelike nature. This means that the probability amplitude would be a sync function: Sin[r]/r, giving a probability distribution of Sin^2[r]/r^2. Now we should not need to renormalize, and we also would no longer have the possibility of electron expulsion from an atom. We still retain quantum properties such as the wavelike interference behavior of particles, but will no longer have infinities caused by a pure central force field.

Agemoz